The Linguistics of Science vs. Homer vs. Religion.

Letter to Academics in Education, Language/Literature, Linguistics, Psychology, and Philosophy

“Even as the history of our discipline is implicated in systemic racism, such modes of inquiry remind us of literature’s capacities for critique, resistance, and transformation.  We resolve to pursue those capacities across all areas of literary study.” J. Brantley, English Chair, Yale University.

Subjects:

  1. Do you, your children, your students have the knowledge, skill, and ability to harness their evolved emotional biofeedback mechanisms for the development and maintenance of their own health, prosperity, and well-being?
  2. Did Homer’s 3000-year-old emotional linguistics in the Iliad lay the foundation for erroneous emotional comprehension, understanding, and beliefs in education, literature, philosophy, law, and religion and in psychology of cognitive/emotional development, behavior, creativity, and decision-making?
  3. Emotions-as-Effect Theory: The Linguistic Semantics of Emotional vs. Cognitive Regulation (11000 words) re-evaluates the linguistics of emotions as used daily in today’s cultures and societies around the world (Jackson, 2020).

Date: 2020-09-03

Dear Academic,

How long will the academic institutions of education, language, linguistics, literature How long will the academic institutions of education, language, linguistics, literature psychology, and philosophy continue the instruction, edification, and liability of an erroneous emotional/cognitive dynamic regulatory theory based in a 3000-year-old literary and religious linguistics when there are yearly, nearly 800,000 suicide deaths worldwide (W.H.O., 2019), millions of other people are being put through a child-to-prison pipeline where incarcerating conditions only amplify their psychological injuries, and indiscriminate “random” shootings continue with no review of the psychological environments that are fostering all of these atrocities and that are oblivious to emotions’ evolutionary design?  Lack of personal and academic questioning and review of psychological and pharmacological emotional dysfunction theory would only add to the misfortune of these children of a lesser God (Medoff, 1979).

Psychologists change cognitive activities to change emotions (Greenberger & Padesky, 2016; Prinz, 2004). But is your favorite character (fictional or biographical) driven and makes decisions emotionally by what they feel or cognitively by what they think; that is, does cognition or emotion change the biology that drives an artist, a researcher, a political activist, or character in a book, play, or movie? What is the linguistic illusion of destructive and aberrant emotions in science and evolution vs. Homer and Shakespeare vs. religious text of the world?

For the last fifteen years I have been campaigning for a paradigm shift that our children be taught the necessary cognitive/emotional skills, abilities, and gymnastics to maintain their own mental health, prosperity, and well-being that lies within a scientific, rather than within an erroneous literary and religious foundation of emotional dysfunction theory. Emotions-as-Effect Theory paves the way for science to begin this fundamental education within our schools, cultures, and societies on this planet.

By maintaining the illusion of emotional dysfunction and the need for emotional control (Gross, 2014) and management, the evolved function of emotional biofeedback in cognitive development, behavior, and decision making for health, prosperity, and well-being is short-circuited and the words, linguistics, and language of others have a greater ability to dominate, manipulate, and mislead decision making and behavior. Emotion-as-effect theory hopes to correct this unjust and false emotional linguistics foundation within the human psychic and reintegrate the evolved role of the emotional biofeedback mechanism as a necessary executive function in cognitive development, behavior, and decision making for an individual’s health, prosperity, and well-being.

I hope you understand my thesis and its importance for the future of education. I am constantly working on my messaging and welcome any suggestions. The abstract and diagram of the cognitive-emotional flow process follows and a PDF of Emotions-as-Effect Theory: The Linguistic Semantics of Emotional vs. Cognitive Regulation (11000 words) can be found on https://emotional-evolution.com/.

Passionately,

Andrew O. Jackson

Symbiotic Psychology

6441 Dylyn Dr.

Madison, WI 53719 USA

+1 608-234-8116

ajackson@symsyc.com

https://emotional-evolution.com/

Note: Maintaining the status-quo of an emotional dysfunction theory that demands emotional regulation and management (even with the use of pharmaceuticals) is like a walk into Plato’s cave. A lifetime of secular, and perhaps religious, learning, using, teaching, and possible research within a belief of emotional driven behavior and decision making has hardwired (neuroplasticity) a reflexive neurocircuitry erroneously devoted to emotional dysfunction theory. For any one person to accept another cognitive/emotional dynamic requires a brutal commitment to science and logic.

Abstract

Emotions-as-effect Theory: The Linguistic Semantics of Emotional vs. Cognitive Regulation

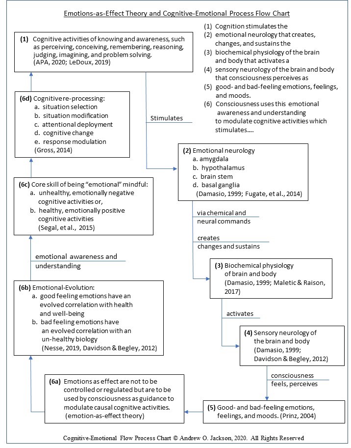
“Goddess, sing me the anger, of Achilles, Peleus’ son, that fatal anger that brought countless sorrows on the Greeks and sent many valiant souls of warriors down to Hades, leaving their bodies as spoil for dogs and carrion birds: for thus was the will of Zeus brought to fulfilment” (Homer, 800-700/2009). With these beginning words written almost 3000 years ago, Homer’s Iliad linguistically sabotaged hundreds of millions of years of emotional evolution. The civilized arena was staged for aberrant emotion driving destructive behavior. In turn, this destructive behavior arising from emotional dysregulation and disorder required emotional regulation and control. Emotions-as-effect theory reconstructs the evolutionary bases of good- and bad-feeling emotions as the perception, by consciousness, of a biochemical physiology within the body and the brain precipitated by an evolved and nurtured cognitive neural circuitry. Emotions, feelings, and moods are perceptions of an internal state of biology precipitated by cognition. Homer’s emotions, feelings, and moods are a carefully nurtured neurolinguistic cognitive construct of the mind. Contrary to the linguistics of Homer, emotions are not causal, and they are neither destructive nor constructive; rather, they are indicators of the presence of very real destructive and constructive – and causal – cognitive behaviors. The correlations among (1) cognition, (2) a healthy, vital, and robust biochemical physiology of the brain and body, (3) good- and bad-feeling emotions, and (4) consciousness are a result of millions of years of evolutionary survival for the health and well-being of the individual. The question is, how will today’s ever-changing technical and political cultures and societies understand, nurture, and develop these same necessary correlations?

Greenberger, D., & Padesky, C. (2016). Mind over mood: Change how you feel by changing the way you think (2nd ed.). The Guilford Press.

Gross, J. J. (2014). Emotional regulation: conceptual and empirical foundations. In J.J. Gross (Ed.), Handbook of emotion regulation (pp. 3–20). The Guilford Press.

Jackson, A.O. (2020). Emotions-as-effect theory: The linguistic semantics of emotional vs. cognitive regulation. Symbiotic Psychology Press.

Medoff, 1979, Children of a lesser God. (Play) Retrieved from https://en.wikipedia.org/wiki/Children_of_a_Lesser_God_(play)

Prinz, J.J. (2004). Gut reactions: A perceptual theory of emotions. Oxford University Press.

W.H.O. (2019). Suicide. Retrieved from https://www.who.int/news-room/fact-sheets/detail/suicide

Figure 1

Cognition, not emotion, changes the biology that drives behavior as current linguistics in psychology and secular and religious literature suggests. (See following Figure 1, Emotions-as-Effect Theory, page 29)

Figure 1 Cognitive-Emotional Process Flow Chart

 If law is ignorant of what drives human behavior and decision making, how can there be but laws of ignorance and injustice (and disorder, conflict, and crisis). Justice founded upon falsehood is itself false and unjust.